Form VS1074SD Vehicle Inspection Record New York Form VS Requisition for Miscellaneous Forms New York Form VS95 Public Emissions Inspection Buy/Sell AgreementVs 1074sd Fill Online, Printable, Fillable, Blank Keywordsuggesttoolcom Motorcycle inspections and certificates must be recorded on a VS1074M heavy vehicle and safety/diesel inspections and certificates must be recorded on a VS1074SD PAGE 1 OF 2 reset/clear INSTRUCTIONS FOR COMPLETING VEHICLE INSPECTION RECORDSAFETY FORM VS1074S(1) A form entitled "Motor Vehicle Inspection Record" (form VS1074S, VS1074SD, or VS1074M) will be furnished without charge to the inspection stations This form will be used to record inspections performed by the station that are not required to be kept in
Motor Vehicle Inspection Regulations Effective June 19 Pdf Free Download
Vs-1074sd
Vs-1074sd-The V ehicle Inspection Record (VS1074SD) is used to record inspections performed and inspection certificates issued It is also used to record information about vehicles that are rejected after inspection When completed, the form must beThe V ehicle Inspection Record (VS1074SD) is used to record inspections performed and inspection certificates issued It is also used to record information about vehicles that are rejected after inspection When completed, the form must be


Form Vs 1074sd Vehicle Inspection Record New York Free Download
This form is used to record inspections, reinspections and the results thereof, and to record certificates of inspection, andThis is a legal form that was released by the New York State Department of Motor Vehicles a government authority operating within New York As of today, no separate filing guidelines for the form are provided by the issuing department(e) Motor vehicle inspection record (VS1074S, VS1074SD, or VS1074M) A form secured from the Department of Motor Vehicles by an official inspection station This form is used to record inspections, reinspections and the results thereof, and to record certificates of inspection, and
Heavy vehicle and safety/diesel inspections and certificates must be recorded on a VS1074SD Be sure to use the correct form for the type of inspection and certificate you are recording, and to issue and record certificates in consecutive orderFirst page Back Continue Bookmark This Page Back Continue Bookmark This PageJan 01, 21 · Form VS1074SD Vehicle Inspection Record New York The sticker's center – where the month and year are displayed – aren't part of sticker at all Poly packs vary by manufacturer Green expires , Yellow in 21
(e) Motor vehicle wrpecnon record (VS1074SE, VS1074SD or VS 1074M) A form secured from the DepatuttCet of Motor Vehieks by an official inspection Station Thin form IS uced to record the inspections, rdncpecttons and the results theteof, and * record of certificates ofSep 01, 15 · What Is Form VS1074S?This is a legal form that was released by the New York State Department of Motor Vehicles a government authority operating within New York As of today, no separate filing guidelines for the form are provided by the issuing department


Form Vs 1074m Vehicle Inspection Record For Motorcycle New York Edit Fill Sign Online Handypdf


Form Vs 1074s Download Fillable Pdf Or Fill Online Vehicle Inspection Record Safety New York Templateroller
Vs 1074sd Motorcycle inspections and certificates must be recorded on a VS1074M heavy vehicle and safety/diesel inspections and certificates must be recorded on WIDA's Grade Level Cluster CAN DO Descriptors The Results ofEnsure the data you add to the Vs 1074sd is updated and accurate Indicate the date to the record using the Date feature Click the Sign icon and create an esignature There are three available options;Sep 01, 15 · What Is Form VS1074SD?


New York State Department Of Motor Vehicles Motor Vehicle Inspection Regulations Pdf Free Download


Vs 1074sd Dmv New York State
Vs1074sd wwwnysdmvcom instructions for completing vehicle inspection Settlement Agreements For Employment Termination Cases (WithTitle Vehicle Inspection Record Safety and Diesel Emissions Author New York State Department of Motor Vehicles Subject Safety and Diesel Emissions(e)Motor vehicle inspection record (VS1074S, VS1074SD, or VS1074M) A form secured from the Department of Motor Vehicles by an official inspection station


Best Practices When A Vehicle Is Presented For Inspection


Graph Of Yield For Mdo Mfx And Cm With Mean Values Listed As Newtons Download Scientific Diagram
This page is about EmergencyLights Inspection Form for Inspector,contains Emergency Light Inspection Form (Free editable template),Emergency Lighting Inspection Report Form Mobile App ,electraform,Defensible Space Inspections Underway and moreThe following tips will allow you to complete VS1074SD DMV New York State Dmv Ny easily and quickly Open the document in our featurerich online editing tool by clicking Get form Fill out the necessary boxes that are marked in yellow Hit theWhen a station is required to record their inspections on a paper VS1074SD or VS1074S, Vehicle Inspection Record, a vehicle being rejected for window tint would have a check mark placed under "Other" in column 11 When a vehicle fails inspection for window tint, itis no different than a vehicle failing for any other safety item, The


Motor Vehicle Inspection Regulations Effective June 19 Pdf Free Download


Using Eye Movements As An Index Of Implicit Face Recognition In Autism Spectrum Disorder Hedley 12 Autism Research Wiley Online Library
(e) Motor vehicle inspection record (VS1074S, VS1074SD or VS1074M) A form secured from the Department of Motor Vehicles by an official inspection stationForm VS1074SD Vehicle Inspection Record New York free download and preview, download free printable template samples in PDF, Word and Excel formatsInstructions for completing vehicle inspection record forms vs1074se;


Diesel Emissions Opacity Inspection Procedure


Vehicle Inspection Records Vs 1074sd
PAGE 1 OF 2 reset/clear INSTRUCTIONS FOR COMPLETING VEHICLE INSPECTION RECORDSAFETY FORM VS1074S The Vehicle Inspection Record VS1074S is used to recordRecorded on a VS1074M;The inspection station must enter the facility name address and facility number in the space provided on each form Use the VS1074SD to record ONLY Heavy Vehicle Safety VS10HV and Safety/Diesel Emissions VS10D Certificates and inspections performed If a vehicle is inspected that requires only one of the certificates leave the other column


Af Form 4434 Download Fillable Pdf Or Fill Online Vehicle Inspection And Maintenance I M Program Self Certification Templateroller


Form Vs 1074sd Vehicle Inspection Record New York Free Download
(e) Motor vehicle inspection record (VS1074S, VS1074SD, or VS1074M) A form secured from the Department of Motor Vehicles by an official inspection station;Typing, drawing, or capturing one Make certain every area has been filled in correctlyVs1074sd VS1074SE VS1074M VS76 RR OBD 1998 VS10SE 1996 NYMA opacity VS10 nysdmv Related to VS10SE ENROLLMENT FORM FOR GROUP INSURANCE CTYDELANO GROUP POLICY cityofdel The Lincoln National Life Insurance Company PO Box 2616, Omaha, NE Phone (800) Fax (877) ENROLLMENT FORM FOR GROUP


Tdlr Form 058ihb Download Printable Pdf Or Fill Online Alteration Inspection Record Summary Texas Templateroller


Pdf Genetic Property


21 Ny Dmv Inspection Stations And Certified Inspectors Fillable Printable Pdf Forms Handypdf


Vs 1074sd Dmv New York State


Form Vs 1074m Download Fillable Pdf Or Fill Online Vehicle Inspection Record Safety Motorcycle New York Templateroller


Form Vs 1074sd Vehicle Inspection Record New York Free Download


Early Life Sleep Deprivation Role Of Oxido Inflammatory Processes Sciencedirect


Pdf Psychology Crime Law The Scharff Technique Training Military Intelligence Officers To Elicit Information From Small Cells Of Sources


Analysis Of The Biomechanical Properties Of The Mandible After Unilateral Distraction Osteogenesis Abstract Europe Pmc


21 Ny Dmv Inspection Stations And Certified Inspectors Fillable Printable Pdf Forms Handypdf


21 Ny Dmv Inspection Stations And Certified Inspectors Fillable Printable Pdf Forms Handypdf


Form Vs Download Fillable Pdf Or Fill Online Facility Out Of Business Attestation New York Templateroller


Vs 1074m Fill Online Printable Fillable Blank Pdffiller


21 Ny Dmv Inspection Stations And Certified Inspectors Fillable Printable Pdf Forms Handypdf


Evaluacion Retrospectiva De La Eficacia De La Bumetanida Intravenosa Y Comparacion De La Potencia Con Furosemida


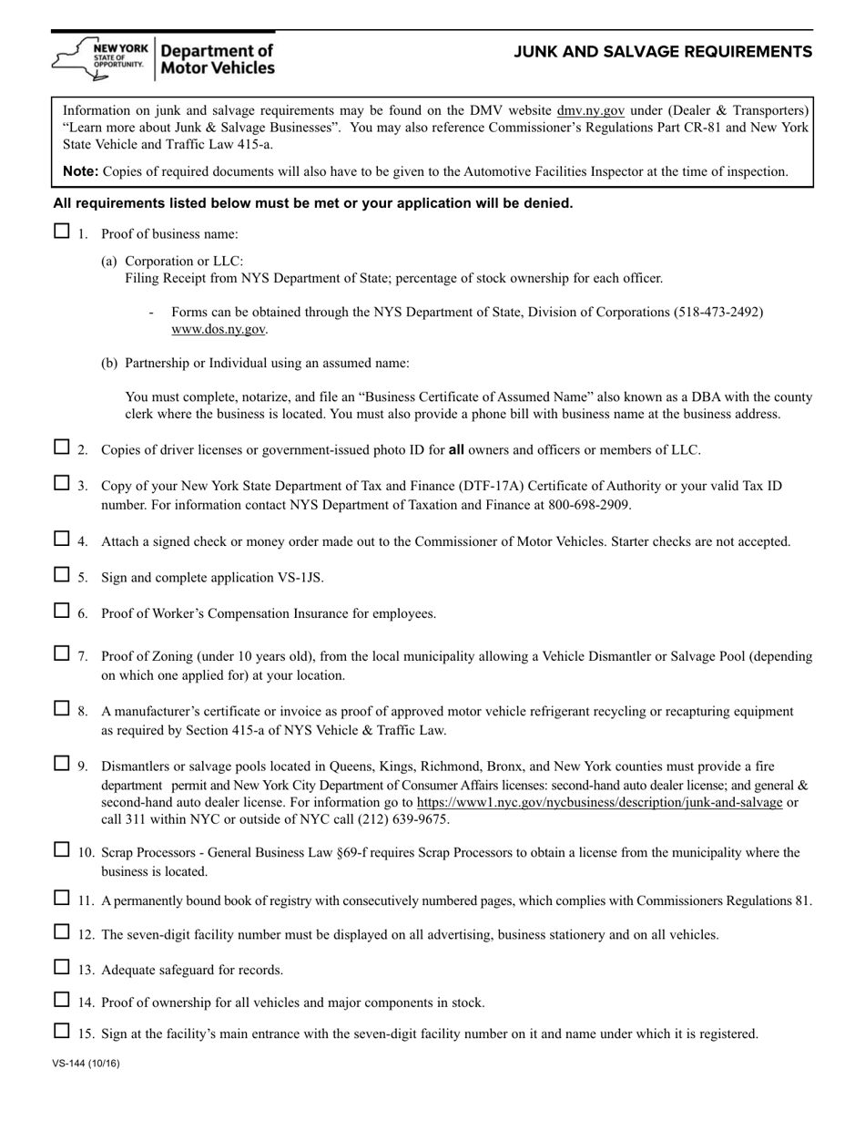
Form Vs 144 Download Fillable Pdf Or Fill Online Facility Requirements Junk And Salvage New York Templateroller


Analysis Of The Biomechanical Properties Of The Mandible After Unilateral Distraction Osteogenesis Abstract Europe Pmc


Vehicle Inspection Records Vs 1074


Motor Vehicle Inspection Regulations Effective June 19 Pdf Free Download


Ny Dmv Inspection Stations And Certified Inspectors 14 Free Templates In Pdf Word Excel Download


Form Vs 18 A Historical Registered Vehicle Be Used During Daylight Only New York Edit Fill Sign Online Handypdf


Long Acting Agonists A Review Of Formoterol Safety Data From Asthma Clinical Trials


Graph Of Yield For Mdo Mfx And Cm With Mean Values Listed As Newtons Download Scientific Diagram


Dmh 132 Form Missouri Fill Online Printable Fillable Blank Pdffiller


Cr79pdf Fill Online Printable Fillable Blank Pdffiller


Fillable Online Dmv Ny Vs 1074sdvs 1074sd Qxd Dmv Ny Fax Email Print Pdffiller


Fillable Online Dps Mn Minnesota Petition For Variance Form Fax Email Print Pdffiller


Ny Dmv Inspection Stations And Certified Inspectors 14 Free Templates In Pdf Word Excel Download


New York State Department Of Motor Vehicles Motor Vehicle Inspection Regulations Pdf Free Download


21 Ny Dmv Inspection Stations And Certified Inspectors Fillable Printable Pdf Forms Handypdf


Full Article The Scharff Technique Training Military Intelligence Officers To Elicit Information From Small Cells Of Sources


Vehicle Insurance Insurance Vehicle Inspection


Form Vs 18 A Historical Registered Vehicle Be Used During Daylight Only New York Edit Fill Sign Online Handypdf


Financial Undertaking For A Student Inz 1014 Fill Online Printable Fillable Blank Pdffiller


Form Vs 1074sd Vehicle Inspection Record New York Edit Fill Sign Online Handypdf


Motor Vehicle Inspection Regulations Effective June 19 Pdf Free Download


Form Vs 1074s Download Fillable Pdf Or Fill Online Vehicle Inspection Record Safety New York Templateroller


Vs 1074sd Dmv New York State


Vehicle Insurance Insurance Vehicle Inspection


Form Vs 1075 3 Download Fillable Pdf Or Fill Online Requisition For Miscellaneous Forms New York Templateroller


Early Life Sleep Deprivation Role Of Oxido Inflammatory Processes Sciencedirect


Inspection Requirements For Carriers Transporting Passengers


Form Vs 1074sd Download Fillable Pdf Or Fill Online Vehicle Inspection Record Safety And Diesel Emissions New York Templateroller


Form Vs 1074sd Download Fillable Pdf Or Fill Online Vehicle Inspection Record Safety And Diesel Emissions New York Templateroller


Form Pd 3 All Terrain Vehicle Registration Form New York Free Download


Motor Vehicle Inspection Regulations Effective June 19 Pdf Free Download


Harness Inspection Record Template Body Harness And Lanyard Inspection Form Form Resume Safety Harnesses Must Be Inspected For Wear And Tear Frequently Evonc Kitbag


Vs 1074sd Dmv New York State


Motor Vehicle Inspection Regulations Effective June 19 Pdf Free Download


Form Vs 1075 3 Download Fillable Pdf Or Fill Online Requisition For Miscellaneous Forms New York Templateroller


Vs 1074sd Dmv New York State


Vs 1074sd Fill Online Printable Fillable Blank Pdffiller


Form Mv itp In Transit Permit Title Application New York Free Download


Masseteric Facial Nerve Coaptation An Alternative Technique For Facial Nerve Reinnervation Journal Of Plastic Reconstructive Aesthetic Surgery


Ny Dmv Inspection Stations And Certified Inspectors 14 Free Templates In Pdf Word Excel Download


Form Vs 1074sd Vehicle Inspection Record New York Free Download


Form Vs 1074m Vehicle Inspection Record For Motorcycle New York Edit Fill Sign Online Handypdf


Form Vs 1074sd Vehicle Inspection Record New York Free Download


Vs 1074sd Dmv New York State


New York Dmv Forms 7 Free Templates In Pdf Word Excel Download


Form Vs 1074sd Download Fillable Pdf Or Fill Online Vehicle Inspection Record Safety And Diesel Emissions New York Templateroller


Form Vs 1074m Vehicle Inspection Record For Motorcycle New York Edit Fill Sign Online Handypdf


Form Mv itp In Transit Permit Title Application New York Free Download


Third Authorization Fill Online Printable Fillable Blank Pdffiller


Vs 1074sd Dmv New York State


Motor Vehicle Inspection Regulations Effective June 19 Pdf Free Download


0 件のコメント:
コメントを投稿